Relación entre tamaño del núcleo y del átomo (2971)

, por F_y_Q

El núcleo atómico tiene un diámetro del orden de 10^{-15}\ m y el átomo del orden de 10^{-10}\ m. Calcula que tamaño tendría el átomo si el núcleo tuviera el tamaño de una bola de 1 cm de diámetro.

P.-S.

La mejor manera de resolver el ejercicio es que plantees una proporción directa:

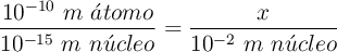
\frac{10^{-10}\ m\ \acute{a}tomo}{10^{-15}\ m\ n\acute{u}cleo} = \frac{x}{10^{-2}\ m\ n\acute{u}cleo}

Despejas «x»:

x = \frac{10^{-10}\cdot 10^{-2}\ m\cancel{^2}}{10^{-15}\ \cancel{m}} = \fbox{\color[RGB]{192,0,0}{\bm{10^3\ m}}}


El diámetro del átomo sería de ¡¡un kilómetro!!