Reacción química entre oxígeno y sodio 0001
El sodio y el oxígeno reaccionan para dar lugar al óxido de sodio.
a) Escribe y ajusta la reacción.
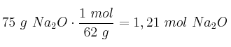
b) Calcula la masa de sodio necesaria para obtener 75 g de óxido de sodio.
c) Calcula el volumen de oxígeno necesario, a 1,3 atm y 25 ºC, para obtener 48 g de óxido de sodio.
d) ¿Qué tipo de reacción es la que se produce?
Datos: Na = 23 ; O = 16 ; 
Ejercicios FyQ