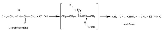
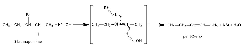
Reacción de un bromopentano con una base fuerte (7146)

, por F_y_Q

Indica la reacción que ocurre cuando el 3-bromopentano reacciona con KOH y el tipo de mecanismo que ocurre.

P.-S.

Se trata de una eliminación bimolecular (\bf E_2). Sigue una cinética de segundo orden y se da en un único paso.

Si clicas sobre la imagen podrás ver la reacción con más detalle.