Reacción de combustión de hidrocarburo (2092)

, por F_y_Q

Si un automóvil viaja 225 millas con un consumo de 20.05 millas/galón de gasolina, ¿Cuántos kilogramos de \ce{CO_2} se producen?

Supón que la gasolina está compuesta por octano , \ce{C8H18(l)}, cuya densidad es 0.69 g/mL.

P.-S.

En primer lugar, debes trabajar con la unidades para que el problema sea homogéneo.

\left 225\ \cancel{millas}\cdot \frac{1.609\ km}{1\ \cancel{milla}} = {\color[RGB]{0,112,192}{\bf 362\ km}} \atop 20.05\ \frac{\cancel{millas}}{\cancel{gal\acute{o}n}}\cdot \frac{1.609\ km}{1\ \cancel{milla}}\cdot \frac {1\ \cancel{gal\acute{o}n}}{3.785\ L} = {\color[RGB]{0,112,192}{\bm{8.52\ \frac{km}{L}}}} \right

Ahora puedes saber qué gasolina ha consumido para recorrer los 362 km:

362\ \cancel{km}\cdot \frac{1\ L}{8.52\ \cancel{km}} = \color[RGB]{0,112,192}{\bf 42.5\ L}

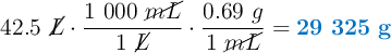
Ahora conviertes este volumen de gasolina en masa, usando el dato de la densidad:

42.5\ \cancel{L}\cdot \frac{1\ 000\ \cancel{mL}}{1\ \cancel{L}}\cdot \frac{0.69\ g}{1\ \cancel{mL}} = \color[RGB]{0,112,192}{\bf 29\ 325\ g}

La reacción de combustión que se da es la siguiente:

\color[RGB]{2,112,20}{\textbf{\ce{C8H18(l) + \frac{25}{2}O2(g) -> 8CO2(g) + 9H2O(l)}}}

La masa de octano, expresada en moles, es:

29\ 325\ \cancel{g}\cdot \frac{1\ mol}{114\ \cancel{g}} = \color[RGB]{0,112,192}{\textbf{257.2 mol \ce{C8H18}}}

La estequiometría de la reacción es 1:8 entre el octano y el \ce{CO_2}:

257.2\ \cancel{\ce{mol\ C_8H_{18}}}\cdot \frac{8\ \ce{mol\ CO2}}{1\ \cancel{\ce{mol\ C8H18}}} = \color[RGB]{0,112,192}{\textbf{2\ 057.6 mol \ce{CO2}}}

El último paso es convertir estos moles de \ce{CO_2} en masa:

2\ 057.6\ \cancel{mol}\cdot \frac{44\ \ce{g\ CO_2}}{1\ \cancel{mol}} = \fbox{\color[RGB]{192,0,0}{\textbf{90\ 534 g \ce{CO_2}}}}