Radio y masa de un planeta a partir de su densidad y aceleración gravitatoria (7089)

, por F_y_Q

Un astronauta desciende sobre la superficie de un planeta de densidad de 5\cdot 10^{-3}\ \textstyle{kg\over m^3} y, a partir de cuidadosas medidas, determina que la aceleración de la gravedad en el lugar es de 19.6\ \textstyle{m\over s^2} . ¿Cuál es el radio del planeta y su masa?

Dato: G = 6.67 \cdot 10^{-11}\ \frac{N\cdot m^2}{kg^2}

P.-S.

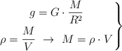
Puedes escribir la ecuación de la aceleración de la gravedad en el planeta en función del radio si escribes la masa en función de la densidad y el volumen del planeta:

\left g = G\cdot \dfrac{M}{R^2} \atop \rho = \dfrac{M}{V}\ \to\ M = \rho\cdot V \right \}

Si supones el planeta esférico puedes reescribir la ecuación anterior con el volumen de una esfera y despejar el valor del radio:

\left g = \dfrac{G\cdot \rho\cdot V}{R^2}\ \atop V = \dfrac{4}{3}\pi\cdot R^3 \right \}\ \to\ \color[RGB]{2,112,20}{\bm{R = \frac{3g}{4\pi\cdot G\cdot \rho}}}

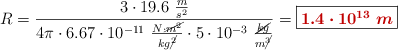
Sustituyes y calculas el valor del radio:

R = \frac{3\cdot 19.6\ \frac{m}{s^2}}{4\pi\cdot 6.67\cdot 10^{-11}\ \frac{N\cdot \cancel{m^2}}{kg\cancel{^2}}\cdot 5\cdot 10^{-3}\ \frac{\cancel{kg}}{m\cancel{^3}}} = \fbox{\color[RGB]{192,0,0}{\bm{1.4\cdot 10^{13}\ m}}}


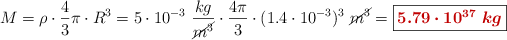
La masa la obtienes a partir del dato de la densidad y el el volumen, una vez conocido el radio:

M = \rho\cdot \frac{4}{3}\pi\cdot R^3 = 5\cdot 10^{-3}\ \frac{kg}{\cancel{m^3}}\cdot \frac{4\pi}{3}\cdot (1.4\cdot 10^{-3})^3\ \cancel{m^3} = \fbox{\color[RGB]{192,0,0}{\bm{5.79\cdot 10^{37}\ kg}}}