Radio mínimo del cilindro que contiene un gas en el que varía la presión y la temperatura

, por F_y_Q

25 g de gas metano, CH_4, de densidad 0,656\ \textstyle{kg\over m^3}, están contenidos en un recipiente cilíndrico de 10 cm de altura en condiciones normales de presión y temperatura. Calcula:

a) El radio mínimo necesario para contener el gas sin que varíen ni la presión ni la temperatura.

b ) El radio mínimo si la temperatura asciende 100 K.

c) El radio mínimo si la presión pasa a ser de 600 mm Hg y la temperatura a 75^oF.

d) Si el radio fuese de 10 cm y se tratara de un proceso isotérmico, el valor de la presión.

P.-S.

En primer lugar vamos a convertir la masa de metano en moles de metano:
25\ \cancel{g}\ CH_4\cdot \frac{1\ mol}{16\ \cancel{g}} = 1,56\ mol\ CH_4
a) Al estar en condiciones normales de P y T podemos aplicar la ley de Avogadro:
1,56\ \cancel{mol}\ CH_4\cdot \frac{22,4\ L}{1\ \cancel{mol}} = 34,9\ L\ CH_4
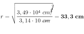
A partir de este dato, expresado en cm^3, podemos determinar el radio del cilindro. El radio del cilindro puede ser expresado a partir de la fórmula del volumen:
V = \pi\cdot r^2\cdot h\ \to\ r = \sqrt{\frac{V}{\pi\cdot h}}

r = \sqrt{\frac{3,49\cdot 10^4\ cm\cancelto{2}{^3}}{3,14\cdot 10\ \cancel{cm}}} = \bf 33,3\ cm


b) A partir de la ecuación de los gases ideales determinamos el volumen del gas en las condiciones dadas:
V = \frac{n\cdot R\cdot T}{P} = \frac{1,56\ \cancel{mol}\cdot 0,082\frac{\cancel{atm}\cdot L}{\cancel{K}\cdot \cancel{mol}}\cdot 373\ \cancel{K}}{1\ \cancel{atm}} = 47,7\ L
El cálculo del radio mínimo es análogo al caso anterior:

r = \sqrt{\frac{4,77\cdot 10^4\ cm\cancelto{2}{^3}}{3,14\cdot 10\ \cancel{cm}}} = \bf 39,0\ cm


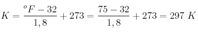
c) Debemos expresar la temperatura en kelvin y la presión en atmósferas:
K = \frac{^oF - 32}{1,8} + 273 = \frac{75 - 32}{1,8} + 273 = 297\ K
600\ \cancel{mm\ Hg}\cdot \frac{1\ atm}{760\ \cancel{mm\ Hg}} = 0,789\ atm
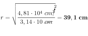
Ahora calculamos el volumen como en el apartado anterior:
V = \frac{n\cdot R\cdot T}{P} = \frac{1,56\ \cancel{mol}\cdot 0,082\frac{\cancel{atm}\cdot L}{\cancel{K}\cdot \cancel{mol}}\cdot 297\ \cancel{K}}{0,789\ \cancel{atm}} = 48,1\ L
Ahora hacemos el cálculo del radio del cilindro:

r = \sqrt{\frac{4,81\cdot 10^4\ cm\cancelto{2}{^3}}{3,14\cdot 10\ \cancel{cm}}} = \bf 39,1\ cm


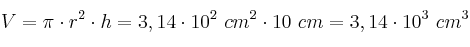
Ahora tenemos que calcular antes el volumen del cilindro y luego determinar la presión del gas:
V = \pi\cdot r^2\cdot h = 3,14\cdot 10^2\ cm^2\cdot 10\ cm = 3,14\cdot 10^3\ cm^3
Ahora despejamos la presión de la ecuación de los gases ideales:

P = \frac{n\cdot R\cdot T}{V} = \frac{1,56\ \cancel{mol}\cdot 0,082\frac{atm\cdot \cancel{L}}{\cancel{K}\cdot \cancel{mol}}\cdot 273\ \cancel{K}}{3,14\ \cancel{L}} = \bf 11,1\ atm