Producto escalar de dos vectores 0001

, por F_y_Q

Encuentra el ángulo entre dos vectores de 10 y 15 unidades de longitud, cuando su resultante tiene 12 unidades de longitud.

P.-S.

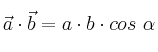
Vamos a aplicar la definición del producto escalar de dos vectores:

\vec a\cdot \vec b = a\cdot b\cdot cos\ \alpha


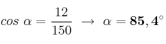
Sabemos que el resultado de este producto es 12 y que a = 10 y b = 15. Despejamos:

cos\ \alpha = \frac{12}{150}\ \to\ \alpha = \bf 85,4^\circ