Problema de dinámica: máquina de Atwood (64)

, por F_y_Q

¿Con qué aceleración se mueve el sistema de la figura?

P.-S.

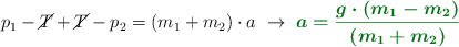
Basta con aplicar la segunda ley de la dinámica cuando consideres en qué sentido se mueve el sistema. Lo lógico es considerar que se mueve hacia la mayor masa por lo que el peso de esa masa será positivo y el de la otra será negativo:

 p_1 - \cancel{T} + \cancel{T} - p_2 = (m_1 + m_2)\cdot a\ \to\ \color[RGB]{2,112,20}{\bm{a = \frac{g\cdot (m_1 - m_2)}{(m_1 + m_2)}}}

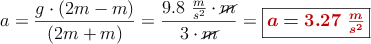
Si sustituyes en la ecuación, obtienes:

a = \frac{g\cdot (2m - m)}{(2m + m)} = \frac{9.8\ \frac{m}{s^2}\cdot \cancel{m}}{3\cdot \cancel{m}} = \fbox{\color[RGB]{192,0,0}{\bm{a = 3.27\ \frac{m}{s^2}}}}