Problema ácido-base 0025
Una disolución acuosa es simultáneamente 0,1 M en ácido acético y 0,1 M en ácido nítrico.
a) ¿Cuánto vale su pH?
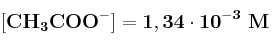
b) ¿Cuál es la concentración del ión acetato?
Una disolución acuosa es simultáneamente 0,1 M en ácido acético y 0,1 M en ácido nítrico.
a) ¿Cuánto vale su pH?
b) ¿Cuál es la concentración del ión acetato?