Problema ácido-base 0009

, por F_y_Q

Razona en qué sentido está desplazado el equilibrio:

NH_4^+\ (aq) + HCO_3^-\ (aq)\ \rightleftharpoons\ NH_3\ (aq) + H_2CO_3\ (aq)

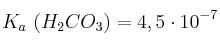
Datos: K_a\ (NH_4^+) = 5,7\cdot 10^{-10} ; K_a\ (H_2CO_3) = 4,5\cdot 10^{-7}

P.-S.

Está desplazado hacia la izquierda.