Presión parcial de un gas en una mezcla cuando se triplica la presión (7883)

, por F_y_Q

Un recipiente rígido de 2 L de capacidad contiene 0.18 g de nitrógeno gaseoso a 30 \ ^oC. Si se agrega argón gaseoso a la misma temperatura hasta que la presión inicial del recipiente se triplica, ¿cuál será la presión parcial de Ar en la solución gaseosa resultante?

P.-S.

Con los datos del enunciado puedes calcular la presión inicial del recipiente antes de introducir el segundo gas. Solo tienes que expresar la ecuación de los gases ideales en función de la masa de gas y su masa molecular:

\left PV = nRT \atop n = \frac{m}{M} \right \}\ \to\ {\color[RGB]{2,112,20}{\bm{P = \frac{m\cdot R\cdot T}{M\cdot V}}}

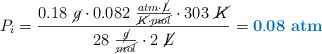
Sustituyes y calculas la presión inicial:

P_i = \frac{0.18\ \cancel{g}\cdot 0.082\ \frac{atm\cdot \cancel{L}}{\cancel{K}\cdot \cancel{mol}}\cdot 303\ \cancel{K}}{28\ \frac{\cancel{g}}{\cancel{mol}}\cdot 2\ \cancel{L}} = \color[RGB]{0,112,192}{\bf 0.08\ atm}

Si triplicas el valor calculado, teniendo en cuenta los mismos valores de volumen y temperatura, puedes calcular los moles totales en la mezcla tras introducir el nuevo gas:

n_f = \frac{P_f\cdot V}{R\cdot T} = \frac{0.24\ \cancel{atm}\cdot 2\ \cancel{L}}{0.082\ \frac{\cancel{atm}\cdot \cancel{L}}{\cancel{K}\cdot mol}\cdot 303\ \cancel{K}} = \color[RGB]{0,112,192}{\bm{4.83\cdot 10^{-2}\ mol}}

Los moles de argón son la diferencia entre los moles finales y los moles iniciales:

n_{\ce{Ar}} = 4.83\cdot 10^{-2}\ mol - \frac{0.18\ \cancel{g}}{28\ \frac{\cancel{g}}{mol}} = \color[RGB]{0,112,192}{\bm{4.19\cdot 10^{-2}\ mol}}

La presión parcial que estás calculando es:

p_{\ce{Ar}} = x_{\text{Ar}}\cdot P_f = \frac{4.19\cdot 10^{-2}\ \cancel{mol}}{4.83\cdot 10^{-2}\ \cancel{mol}}\cdot 0.24\ atm = \fbox{\color[RGB]{192,0,0}{\bf 0.21\ atm}}