Presión parcial de cada gas en función del volumen de cada uno

, por F_y_Q

Siendo la presión total de un recipiente 680 torr, ¿cuál es la presión parcial de cada gas, sabiendo que están contenidos 4 litros de cloro, 7 litros de nitrógeno y 6 litros de oxígeno?

P.-S.

La ley de Dalton nos dice que la presión total de una mezcla de gases es igual a la suma de las presiones parciales de cada uno de los componentes de la mezcla. La expresión que describe esta relación es: P_i = x_i\cdot P_T
(siendo P_i la presión parcial de cada gas y x_i la fracción molar de cada uno).
La fracción molar es, por definición, el cociente entre los moles de un gas y los moles totales de la mezcla. Si hacemos esta relación, pero expresada en función de la presión, volumen y temperatura del sistema, podremos obtener:
\frac{n_i}{n_T} = \frac{\frac{PV_i}{RT}}{\frac{PV_T}{RT}} = \frac{V_i}{V_T}
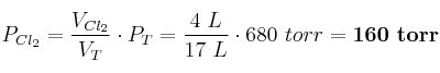
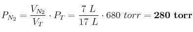
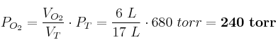
Ahora podemos calcular la presión parcial de cada gas en la mezcla en función de los volúmenes dados:

P_{Cl_2} = \frac{V_{Cl_2}}{V_T}\cdot P_T = \frac{4\ L}{17\ L}\cdot 680\ torr = \bf 160\ torr

P_{N_2} = \frac{V_{N_2}}{V_T}\cdot P_T = \frac{7\ L}{17\ L}\cdot 680\ torr = \bf 280\ torr

P_{O_2} = \frac{V_{O_2}}{V_T}\cdot P_T = \frac{6\ L}{17\ L}\cdot 680\ torr = \bf 240\ torr