Presión manométrica final y aire perdido en una rueda de forma toroide al final de un viaje (5056)

, por F_y_Q

Una llanta tiene forma de toroide, cuyo volumen se puede calcular a partir de los parámetros R y r de la figura y aplicando la fórmula V  = 2\pi^2\cdot r^2\cdot R:

(siendo R = 42.5 cm y r = 17.5 cm).

Cierto día se llenó la llanta con aire a temperatura ambiente (20 ^oC) y una presión manométrica de 20 psi. Al finalizar el viaje la temperatura de la llanta se elevó a 58 ^oC. Considerando que la presión atmosférica es 12.8 psi calcula:

a) La presión manométrica que registrará la llanta al finalizar el viaje, considerando que el volumen se mantiene constante. Recuerda que para usar las leyes de los gases se debe usar la presión absoluta en todos los cálculos.

b) La masa de aire que se perdió durante el recorrido si la presión manométrica que registra en las condiciones finales fuese de 15 psi.

Considera que la masa molar del aire es 29 g/mol.

P.-S.

En primer lugar debes calcular el volumen del toroide para saber el volumen del aire que contiene la llanta:

V = 2\cdot \pi^2\cdot 17.5^2\cm^2\cdot 42.5\ cm = 2.57\cdot 10^5\ \cancel{cm^3}\cdot \frac{1\ L}{10^3\ \cancel{cm^3}} = \color[RGB]{0,112,192}{\bf 257\ L}

Las temperaturas inicial y final, en escala absoluta, son:

\left T_1 = (20 + 273)\ K = {\color[RGB]{0,112,192}{\bf{293\ K}}} \atop T_2 = (58 + 273)\ K = {\color[RGB]{0,112,192}{\bf{331\ K}}} \right \}.

La presión absoluta inicial es:

P_1 = (20 + 12.8)\ psi = \color[RGB]{0,112,192}{\bf 32.8\ psi}.

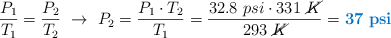
a) Si consideras que el volumen es constante y aplicas la ley de Gay-Lussac:

\frac{P_1}{T_1} = \frac{P_2}{T_2}\ \to\ P_2 = \frac{P_1\cdot T_2}{T_1} = \frac{32.8\ psi\cdot 331\ \cancel{K}}{293\ \cancel{K}} = \color[RGB]{0,112,192}{\bf 37\ psi}

La presión manométrica será la diferencia entre la presión absoluta calculada y la presión atmosférica:

P^{\prime} = (37 - 12.8)\ psi = \fbox{\color[RGB]{192,0,0}{\bf 24.2\ psi}}


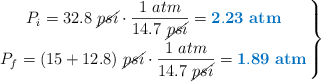
b) La masa de aire la puedes obtener a partir de la ecuación de los gases ideales, pero debiendo expresar las presiones absolutas, tanto inicial como final, en atmósferas en lugar de psi:

\left P_i = 32.8\ \cancel{psi}\cdot \dfrac{1\ atm}{14.7\ \cancel{psi}} = {\color[RGB]{0,112,192}{\bf 2.23\ atm}} \atop P_f = (15 + 12.8)\ \cancel{psi}\cdot \dfrac{1\ atm}{14.7\ \cancel{psi}} = {\color[RGB]{0,112,192}{\bf 1.89\ atm} \right \}

La masa inicial de aire es:

m_i = \frac{M\cdot P_i\cdot V_i}{R\cdot T_i} = \frac{29\ \frac{g}{\cancel{mol}}\cdot 2.23\ \cancel{atm}\cdot 257\ \cancel{L}}{0.082\frac{\cancel{atm}\cdot \cancel{L}}{\cancel{K}\cdot \cancel{mol}}\cdot 293\ \cancel{K}} = \color[RGB]{0,112,192}{\bf 692\ g}

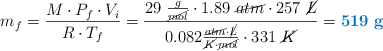
También calculas la masa final de aire con las condiciones finales y suponiendo que el volumen final es el mismo:

m_f = \frac{M\cdot P_f\cdot V_i}{R\cdot T_f} = \frac{29\ \frac{g}{\cancel{mol}}\cdot 1.89\ \cancel{atm}\cdot 257\ \cancel{L}}{0.082\frac{\cancel{atm}\cdot \cancel{L}}{\cancel{K}\cdot \cancel{mol}}\cdot 331\ \cancel{K}} = \color[RGB]{0,112,192}{\bf 519\ g}

La masa aire que se pierde será la diferencia de ambos valores:

\Delta m = (692 - 519)\ g = \fbox{\color[RGB]{192,0,0}{\bf 173\ g}}