Potencial eléctrico 0003

, por F_y_Q

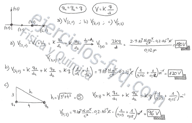
Una carga puntual de 0,2 nC se encuentra en el punto (0, 0) y otra carga idéntica está en el punto (4, 0). Determina el potencial en los puntos: a) (2, 0) ; b) (6, 0) ; c) (0, 3). Las coordenadas están expresadas en centímetros.

P.-S.

a) V = 180 V
b) V = 120 V
c) V = 96 V