Porcentaje en la variación de volumen de un gas 0001

, por F_y_Q

Cuando la presión de un gas se incrementa de 3 atm a 8 atm y la temperatura de 27 °C a 127 °C. Cuál es el porcentaje de variación de volumen?

P.-S.

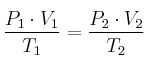
Si empleamos la ecuación general de los gases: \frac{P_1\cdot V_1}{T_1} = \frac{P_2\cdot V_2}{T_2}, podemos despejar el cociente de los volúmenes:

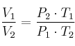
\frac{V_1}{V_2} = \frac{P_2\cdot T_1}{P_1\cdot T_2}


Vamos a sustituir los valores:

\frac{V_1}{V_2} = \frac{8\ atm\cdot 300\ K}{3\ atm\cdot 400\ K} = \bf 2


El resultado nos dice que el volumen final es la mitad que el volumen inicial. Eso quiere decir que el volumen ha decrecido un 100%.