Peso de un volumen de mercurio (3138)

, por F_y_Q

¿Cual es la masa y el peso de 10 litros de mercurio?

Dato: \rho_{\ce{Hg}} = 13\ 600\ \frac{kg}{m^3}

P.-S.

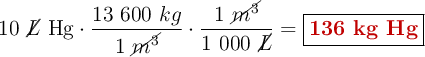
Puedes calcular la masa de mercurio usando la densidad como un factor de conversión y haciendo el cambio de unidad correspondiente, todo en un único paso:

10\ \cancel{L}\ \ce{Hg}\cdot \frac{13\ 600\ kg}{1\ \cancel{m^3}}\cdot \frac{1\ \cancel{m^3}}{1\ 000\ \cancel{L}} = \fbox{\color[RGB]{192,0,0}{\textbf{136\ kg\ Hg}}}


El peso es el producto de la masa por la aceleración gravitatoria:

p = m\cdot g = 136\ kg\cdot 9.8\ \frac{m}{s^2} = \fbox{\color[RGB]{192,0,0}{\bf 1\ 332.8\ N}}