Número de tripéptidos distintos que se pueden formar (6750)

, por F_y_Q

Si se unen tres aminoácidos diferentes, ¿cuántos tripéptidos distintos se pueden obtener?

P.-S.

Como solo hay 20 aminoácidos que forman parte de las proteínas, para poder calcular el número de tripéptidos que se podrían obtener con tres aminoácidos distintos sería hacer las variaciones de 20 elementos tomados de tres en tres. Son variaciones porque el orden en el que se unen los aminoácidos es importante ya que da lugar a tripéptidos diferentes.

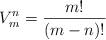
V_m^n = \frac{m!}{(m-n)!}

Si consideras que m = 20 y n = 3 y sustituyes:

V_{20}^3 = \frac{20!}{(20 - 3)!} = \frac{20!}{17!} = \frac{20\cdot 19\cdot 18\cdot \cancel{17!}}{\cancel{17!}} = \fbox{\color[RGB]{192,0,0}{\bf 6\ 840}}