Número de oxidación de cada especie en un compuesto 0001

, por F_y_Q

¿Qué número de oxidación tiene cada elemento en este compuesto CuI_2? Nómbralo.

P.-S.

Se trata de una sal binaria, por lo tanto, el anión (que es el que está escrito a la derecha) actúa con el número de oxidación más bajo, es decir, (1-). Puedes considerar tu compuesto como: CuI_2^{1-}.
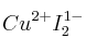
Como ha de ser neutro, la suma de los estados de oxidación tiene que ser cero, por lo tanto el Cu debe tener estado de oxidación (2+) para que compense la carga 2·(1-) = 2- del yodo. Quedaría como: Cu^{2+}I_2^{1-}
Cuando se escribe la fórmula no aparecen los números de oxidación. Tu compuesto es el yoduro de cobre(II) o diyoduro de cobre, según las normas de la IUPAC de 2005.