Número de neutrones de dos isótopos (3091)

, por F_y_Q

Dos isótopos de masas atómicas 42 y 46 presentan en total 40 neutrones. Halla el número de neutrones de cada isótopo.

P.-S.

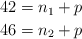
Las masas atómicas son la suma de los neutrones y protones de cada átomo. Como son isótopos quiere decir que el número de protones es el mismo en ambos casos. Puedes escribir dos ecuaciones:

\left 42 = n_1 + p \atop 46 = n_2 + p \right

Si restas ambas ecuaciones llegas a:

\color[RGB]{2,112,20}{\bm{4 = n_2 - n_1}}

Pero sabes que la suma de los neutrones de ambos isótopos es 40, por lo que tienes otra ecuación:

\color[RGB]{2,112,20}{\bm{n_1 + n_2 = 40}}

Resolviendo este nuevo sistema llegas a:

44 = 2n_2\ \to\ n_2 = \color[RGB]{0,112,192}{\bf 22}

Quiere decir que el isótopo 46 tiene \fbox{\color[RGB]{192,0,0}{\textbf{22 neutrones}}} y el isótopo 42 deberá tener cuatro neutrones menos, es decir, \fbox{\color[RGB]{192,0,0}{\textbf{18 neutrones}}}