Nomenclatura de ácidos y sales orgánicas (758)

, por F_y_Q

Nombra o formula los siguientes ácidos y sales:

a) \chemfig{CH_3-CHOH-CH=CH-COOH}

b) \chemfig{HOOC-CH=CH-{{(CH_2)}_5}-COOH}

c) \chemfig{CH_3-CH_2-CO-CH_2-CHOH-COOK}

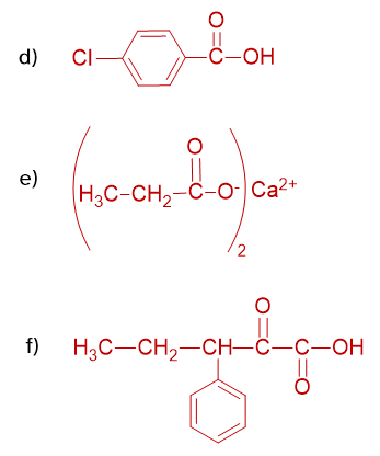
d) ácido 4-clorobenzoico

e) propanoato de calcio

f) ácido 2-oxo-3-fenilpentanoico

P.-S.

a) ácido 4-hidroxipent-2-enoico

b) ácido non-2-enodioico

c) 2-hidroxi-4-oxohexanoato de potasio


RESOLUCIÓN DEL EJERCICIO EN VÍDEO.