Nombrar o formular compuestos orgánicos (6728)

, por F_y_Q

Formula los siguientes compuestos orgánicos:

3-metiloctanal ; 2-metilheptan-3-ona ; 2-isopropil-5-metilciclohexanona ; 3-etil-2,3-dimetilhexanal ; 2,2-dimetilbutanal.

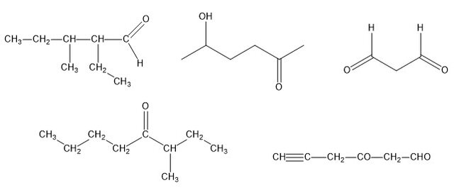
Nombra los siguientes compuestos orgánicos:

P.-S.

La solución a tu ejercicio la verás mejor si clicas sobre la miniatura: