Nombrar ésteres según la IUPAC (6753)

, por F_y_Q

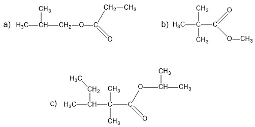
Da nombre a los siguientes ésteres usando la nomenclatura IUPAC:

P.-S.

(Si haces clic sobre la miniatura verás la solución del ejercicio con más detalle).