Nombrar compuestos orgánicos según las normas IUPAC de 1993 (42)

, por F_y_Q

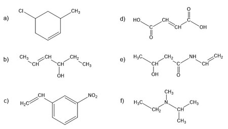
Nombra los siguientes compuestos:

P.-S.

La solución al ejercicio es:

RESOLUCIÓN DEL EJERCICIO EN VÍDEO.