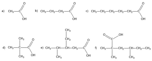
Nombrar ácidos carboxílicos (6743) Martes 18 de agosto de 2020, por F_y_Q | Nomenclatura orgánica Ácidos carboxílicos RESUELTO Nombra los siguientes compuestos utilizando la nomenclatura IUPAC: