Moles, moléculas y átomos a partir de la masa de fosfato de sodio (4929)

, por F_y_Q

Tenemos 820 g de fosfato de sodio, calcula:

a) El número de moles.

b) El número de moléculas.

c) ¿Cuántos moles hay de cada elemento?

d) ¿Cuántos átomos hay de cada elemento?

e) ¿Cuántos gramos son de sodio?

f) ¿Cuántos gramos del compuesto habría que tomar para que contuvieran 3.11\cdot 10^{23} moléculas?

Datos: Na = 23 ; P = 31 ; O = 16 ; N_A = 6.022\cdot 10^{23}

P.-S.

En primer lugar, debes formular el compuesto para poder establecer su masa molecular. El fosfato de sodio es \ce{Na_3PO_4} y contiene 3 átomos de Na, 1 átomo de P y 4 átomos de O por cada molécula. También puedes expresar esta relación en moles y sería correcta. Su masa molecular es:

M_{\ce{Na3PO4}} = 23\cdot 3 + 31\cdot 1 + 16\cdot 4 = \color[RGB]{0,112,192}{\bm{164\ g\cdot mol^{-1}}}

a) Conviertes la masa de compuesto en mol, usando un factor de conversión:

850\ \cancel{g}\ \ce{Na3PO4}\cdot \frac{1\ \text{mol}}{164\ \cancel{g}} = \fbox{\color[RGB]{192,0,0}{\textbf{5.18 mol \ce{Na3PO4}}}}


b) Si tienes en cuenta el número de Avogadro en la definición de «mol», puedes convertir el dato anterior en moléculas:

5.18\ \cancel{\text{mol}}\ \ce{Na3PO4}\cdot \frac{6.022\cdot 10^{23}\ \text{molec}}{1\ \cancel{\text{mol}}} = \fbox{\color[RGB]{192,0,0}{\bm{3.12\cdot 10^{24}}\ \textbf{molec \ce{Na3PO4}}}}


c) Los moles de cada elemento guardan la relación explicada antes:

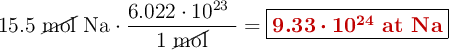
\ce{Na}: 5.18\cdot 3 = \fbox{\color[RGB]{192,0,0}{\textbf{15.5 mol Na}}}
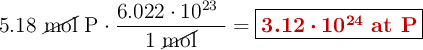
\ce{P}: 5.18\cdot 1 = \fbox{\color[RGB]{192,0,0}{\textbf{5.18 mol P}}}
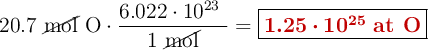
\ce{O}: 5.18\cdot 4 = \fbox{\color[RGB]{192,0,0}{\textbf{20.7 mol O}}}

d) Conocidos los moles de cada elemento, aplicas el factor de conversión con el número de Avogadro para el cálculo de los átomos de cada uno:

15.5\ \cancel{\text{mol}}\ \ce{Na}\cdot \frac{6.022\cdot 10^{23}\ \at}{1\ \cancel{\text{mol}}} = \fbox{\color[RGB]{192,0,0}{\bm{9.33\cdot 10^{24}}\ \textbf{at Na}}}


5.18\ \cancel{\text{mol}}\ \ce{P}\cdot \frac{6.022\cdot 10^{23}\ \at}{1\ \cancel{\text{mol}}} = \fbox{\color[RGB]{192,0,0}{\bm{3.12\cdot 10^{24}}\ \textbf{at P}}}


20.7\ \cancel{\text{mol}}\ \ce{O}\cdot \frac{6.022\cdot 10^{23}\ \at}{1\ \cancel{\text{mol}}} = \fbox{\color[RGB]{192,0,0}{\bm{1.25\cdot 10^{25}}\ \textbf{at O}}}



e) Debes convertir en masa los moles de sodio que acabas de calcular:

15.5\ \cancel{\text{mol}}\ \ce{Na}\cdot \frac{23\ g}{1\ \cancel{\text{mol}}} = \fbox{\color[RGB]{192,0,0}{\bf 357\ g\ Na}}


Aunque no lo indica el enunciado, el cálculo de las masas de los otros elementos las obtendrías de manera análoga:

5.18\ \cancel{\text{mol}}\ \ce{P}\cdot \frac{31\ g}{1\ \cancel{\text{mol}}} = \color[RGB]{0,112,192}{\bf 161\ g\ Na}

20.7\ \cancel{\text{mol}}\ \ce{O}\cdot \frac{16\ g}{1\ \cancel{\text{mol}}} = \color[RGB]{0,112,192}{\bf 332\ g\ O}

f) Tienes que relacionar las moléculas que indica el enunciado con la masa molecular y el número de Avogadro:

3.11\cdot 10^{23}\ \cancel{\text{molec}}\ \ce{Na3PO4}\cdot \frac{164\ g}{6.022\cdot 10^{23}\ \cancel{\text{molec}}} = \fbox{\color[RGB]{192,0,0}{\textbf{84.7 g \ce{Na3PO4}}}}