Moles de hidrógeno en una muestra 0001

, por F_y_Q

¿Cuántos moles de hidrógeno gaseoso se encuentran en una muestra de 2 500 mL a 10 ºC y 1,5 atm?

P.-S.

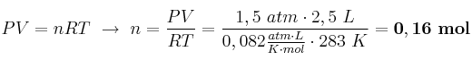
A partir de la ecuación de los gases ideales, y expresando la temperatura en escala absoluta:

PV=nRT\ \to\ n = \frac{PV}{RT} = \frac{1,5\ atm\cdot 2,5\
 L}{0,082\frac{atm\cdot L}{K\cdot mol}\cdot 283\ K} = \bf 0,16\ mol