Masa y moles de una muestra de una mezcla de gases (6830)

, por F_y_Q

Se ha obtenido una muestra de gas de un pozo y se ha comprobado que, a 1.0 atm y 25 ^oC , está formada por 4.0 L de \ce{N2}, 5.0 L de \ce{CH4} y 11.0 L de \ce{CO2} . Calcula:

a) La cantidad de sustancia (mol) y la masa (g) de cada uno.

b) Las fracciones molares y las presiones parciales si comprimimos el gas hasta 2.0 atm.

P.-S.

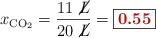
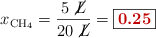
b) Puedes empezar el problema calculando las fracciones molares de los gases porque serían el cociente de los moles de cada componente entre el volumen total:

x_{\ce{N2}} = \frac{4\ \cancel{L}}{20\ \cancel{L}} = \fbox{\color[RGB]{192,0,0}{\bf 0.2}}


x_{\ce{CH4}} = \frac{5\ \cancel{L}}{20\ \cancel{L}} = \fbox{\color[RGB]{192,0,0}{\bf 0.25}}


x_{\ce{CO2}} = \frac{11\ \cancel{L}}{20\ \cancel{L}} = \fbox{\color[RGB]{192,0,0}{\bf 0.55}}


Las presiones parciales de los gases, aplicando la ley de Dalton, serían:

P_{\ce{N2}} = x_{\ce{N2}}\cdot P_T = 0.2\cdot 2\ atm = \fbox{\color[RGB]{192,0,0}{\bf 0.4\ atm}}


P_{\ce{CH4}} = x_{\ce{CH4}}\cdot P_T = 0.25\cdot 2\ atm = \fbox{\color[RGB]{192,0,0}{\bf 0.5\ atm}}


P_{\ce{CO2}} = x_{\ce{CO2}}\cdot P_T = 0.55\cdot 2\ atm = \fbox{\color[RGB]{192,0,0}{\bf 1.1\ atm}}


a) Debes calcular los moles totales que representan la mezcla de gases, dado que conoces las condiciones de presión y temperatura:

PV = nRT\ \to\ n_T = \frac{P\cdot V_T}{RT} = \frac{1\ \cancel{atm}\cdot (4 + 5 + 11)\ \cancel{L}}{0.082\ \frac{\cancel{atm}\cdot \cancel{L}}{\cancel{K}\cdot mol}\cdot 298\ \cancel{K}} = \color[RGB]{0,112,192}{\bf 0.82\ mol}

Ahora solo tienes que multiplicar los moles totales por las fracciones molares de cada componente:

n_{\ce{N2}} = x_{\ce{N2}}\cdot n_T = 0.2\cdot 0.82\ mol = \fbox{\color[RGB]{192,0,0}{\bf 0.164\ mol}}


n_{\ce{CH4}} = x_{\ce{CH4}}\cdot n_T = 0.25\cdot 0.82\ mol = \fbox{\color[RGB]{192,0,0}{\bf 0.205\ mol}}


n_{\ce{CO2}} = x_{\ce{CO2}}\cdot n_T = 0.55\cdot 0.82\ mol = \fbox{\color[RGB]{192,0,0}{\bf 0.451\ mol}}


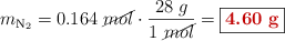
Teniendo en cuenta la masa molar de cada uno de los gases obtienes la masa de cada gas:

m_{\ce{N2}} = 0.164\ \cancel{mol}\cdot \frac{28\ g}{1\ \cancel{mol}} = \fbox{\color[RGB]{192,0,0}{\bf 4.60\ g}}


m_{\ce{CH4}} = 0.205\ \cancel{mol}\cdot \frac{16\ g}{1\ \cancel{mol}} = \fbox{\color[RGB]{192,0,0}{\bf 3.28\ g}}


m_{\ce{CO2}} = 0.451\ \cancel{mol}\cdot \frac{44\ g}{1\ \cancel{mol}} = \fbox{\color[RGB]{192,0,0}{\bf 19.8\ g}}