Masa molecular de un gas encerrado y masa de otro gas para un valor de presión final

, por F_y_Q

En un recipiente de paredes rígidas y de 20 L de capacidad hay encerrados 50.19 g de un gas formado por C, H, y O a 40^oC que ejercen una presión de 1.4 atm.

a) Halla la masa molecular del gas.

b) Calcula la masa del monóxido de carbono que hay que añadir para que la presión resultante sea de 2.0 atm, manteniendo la temperatura constante.

Datos: C = 12 ; O = 16 ; H = 1 ; R = 0.082\ \textstyle{atm\cdot L\over mol\cdot K}

P.-S.

Recuerda que la temperatura ha de estar expresada en escala absoluta, por lo que debes tomar el valor T = 313 K.
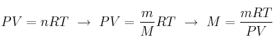
a) A partir de la ecuación de los gases ideales determinamos la masa molecular del compuesto:
PV = nRT\ \to\ PV = \frac{m}{M}RT\ \to\ M = \frac{mRT}{PV
Sustituyendo y calculando:

M = \frac{50.19\ g\cdot 0.082\frac{\cancel{atm}\cdot \cancel{L}}{mol\cdot \cancel{K}}\cdot 313\ \cancel{K}}{1.4\ \cancel{atm}\cdot 20\ \cancel{L}} = \bf 46\ \frac{g}{mol}


b) Si el volumen y la temperatura son constantes, el nuevo valor de presión solo se puede deber a la introducción del CO en el sistema. El número total de moles gaseosos en el sistema debe ser:
n_T = \frac{PV}{RT} = \frac{2\ \cancel{atm}\cdot 20\ \cancel{L}}{0.082\frac{\cancel{atm}\cdot \cancel{L}}{mol\cdot \cancel{K}}\cdot 313\ \cancel{K}} = 1.558\ mol
Los moles del gas inicial son:
n_g = \frac{50.19\ \cancel{g}}{46\frac{\cancel{g}}{mol}} = 1.091\ mol
Hacemos la diferencia entre los moles totales necesarios y los moles de gas inicial:
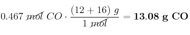
n_{CO} = n_T - n_g = (1.558 - 1.091)\ mol = 0.467\ mol
El último paso es convertir en masa los moles de CO:

0.467\ \cancel{mol}\ CO\cdot \frac{(12 + 16)\ g}{1\ \cancel{mol}} = \bf 13.08\ g\ CO