Masa molecular de un gas 0001

, por F_y_Q

La densidad de un gas es de 2,37 g/L a 25 °C Y 873 torr. Calcula el peso molecular del gas.

P.-S.

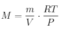
Para hacer este problema vamos a partir de la ecuación de los gases: PV = nRT. Podemos expresar los moles, "n" en la ecuación, como el cociente entre la masa del gas y la masa molecular de éste: PV = \frac{m}{M}\cdot RT.
Despejando la masa molecular del gas y reordenando: M = \frac{m}{V}\cdot \frac{RT}{P}
Sustituimos los datos pero con las unidades correctas:

M = 2,37\frac{g}{L}\cdot \frac{0,082\frac{atm\cdot L}{K\cdot mol}\cdot 298\ K}{873\ torr\cdot \frac{1\ atm}{760\ torr}} = \bf 50,4\frac{g}{mol}