Masa de un cuerpo al que se le aplica una fuerza (Sistema cegesimal) (4760)

, por F_y_Q

Al ejercer una fuerza de 100 dinas sobre un cuerpo, este sufre una aceleración de 10\ \textstyle{cm\over s^2}. ¿Cuál es el valor de su masa?

P.-S.

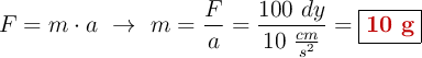
Como el sistema de unidades que usa el enunciado es el cegesimal, la masa del cuerpo quedará expresa en gramos. Aplicas la segunda ley de Newton, despejas el valor de la masa y sustituyes:

F = m\cdot a\ \to\ m = \frac{F}{a} = \frac{100\ dy}{10\ \frac{cm}{s^2}} = \fbox{\color[RGB]{192,0,0}{\bf 10\ g}}