Masa de producto y estequiometría 0001

, por F_y_Q

Se hacen reaccionar 25 gramos de cinc con 28 gramos de ácido clorhídrico. Sabiendo que se forman 0,76 gramos de hidrógeno, ¿cuál es la cantidad de cloruro de cinc que se formará?

P.-S.

La reacción que se da es: Zn + 2HCl\ \to\ ZnCl_2 + H_2
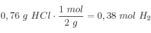
Si se producen 0,76 g de H_2 quiere decir que se han producido:

0,76\ g\ HCl\cdot \frac{1\ mol}{2\ g} = 0,38\ mol\ H_2


Según la estequiometría de la reacción se habrán producido los mismos moles de ZnCl_2, por lo que la masa de sal formada será:

0,38\ mol\ ZnCl_2\cdot \frac{136,3\ g}{1\ mol} = \bf 51,8\ g\ ZnCl_2