Masa de oxígeno consumida en una botella al variar su presión y temperatura (6696)

, por F_y_Q

Una botella metálica de 60 L contiene oxígeno a una presión de 50 atm y a una temperatura de 20\ ^oC. Cuando se ha consumido una cierta cantidad de oxígeno, el manómetro indica una presión de 45 atm a una temperatura de 18 \ ^oC. ¿Qué masa de oxígeno se ha consumido, expresada en kilogramos?

Dato: M_{\ce{O2}} = 32\ \textstyle{g\over mol}

P.-S.

A partir de la ecuación de los gases ideales puedes calcular la masa contenida en el recipiente al inicio y al final, haciendo luego la diferencia:

PV = nRT\ \to\ PV = \frac{m}{M}RT\ \to\ \color[RGB]{2,112,20}{\bm{m = \frac{PVM}{RT}}}

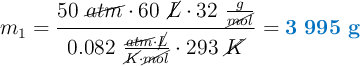
Masa al inicio.

m_1 = \frac{50\ \cancel{atm}\cdot 60\ \cancel{L}\cdot 32\ \frac{g}{\cancel{mol}}}{0.082\ \frac{\cancel{atm}\cdot \cancel{L}}{\cancel{K}\cdot \cancel{mol}}\cdot 293\ \cancel{K}} = \color[RGB]{0,112,192}{\bf 3\ 995\ g}

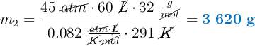
Masa al final.

m_2 = \frac{45\ \cancel{atm}\cdot 60\ \cancel{L}\cdot 32\ \frac{g}{\cancel{mol}}}{0.082\ \frac{\cancel{atm}\cdot \cancel{L}}{\cancel{K}\cdot \cancel{mol}}\cdot 291\ \cancel{K}} = \color[RGB]{0,112,192}{\bf 3\ 620\ g}

La masa de oxígeno que se ha consumido es la diferencia:

\Delta m = (3\ 995-  3\ 620)\ \cancel{g}\cdot \frac{1\ kg}{10^3\ \cancel{g}} = \fbox{\color[RGB]{192,0,0}{\bf 0.375\ kg}}