Masa de magnesio que debe reaccionar con una cantidad de nitrógeno (4709)

, por F_y_Q

¿Qué masa de magnesio se necesita para que reaccionen completamente 10 g de nitrógeno y formar nitruro de magnesio?

P.-S.

Lo primero que debes hacer es escribir la reacción que tiene lugar, eso sí, debidamente ajustada:

\color[RGB]{2,112,20}{\textbf{\ce{3Mg + N2 -> Mg3N2}}}

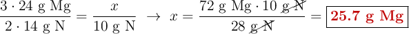
Si consideras que las masas atómicas del Mg y el N son 24 y 14 g/mol respectivamente, la relación estequiométrica en masa en la reacción anterior es:

\frac{3\cdot 24\ \text{g Mg}}{2\cdot 14\ \text{g N}}= \frac{x}{10\ \text{g N}}\ \to\ x = \frac{72\ \text{g Mg}\cdot 10\ \cancel{\text{g N}}}{28\ \cancel{\text{g N}}} = \fbox{\color[RGB]{192,0,0}{\textbf{25.7 g Mg}}}