Leyes ponderales para reacción entre el magnesio y el oxígeno (353)

, por F_y_Q

a) ¿Qué masa de oxígeno será necesaria para la combustión completa de 1.5 g de magnesio si se obtienen 2.49 g del óxido correspondiente?

b) ¿Qué masa de magnesio podría combinarse con 10 g oxígeno?

Enuncia las leyes ponderales en las que te basas para responder a las cuestiones.

P.-S.

a) Si aplicas la ley de conservación de la masa puedes hacer el cálculo que necesitas porque esta ley establece que la suma de las masas de los reactivos tiene que ser igual a la suma de las masas de los productos:

\sum m_r = \sum m_p\ \to\ m_{Mg} + m_O = m_{MgO}\ \to\ \color[RGB]{2,112,20}{\bm{m_O = m_{MgO} - m_{Mg}}}

Sustituyes los datos y calculas:

m_O = (2.49 - 1.5)\ g = \fbox{\color[RGB]{192,0,0}{\bf 0.99\ g}}


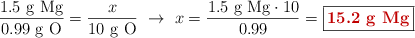
b) Para hacer este apartado debes considerar la ley de las proporciones definidas. La proporción entre las masas de magnesio y oxígeno tiene que ser constante si se produce el mismo óxido:

\frac{1.5\ \ce{g\ Mg}}{0.99\ \ce{g\ O}} = \frac{x}{10\ \ce{g\ O}}\ \to\ x = \frac{1.5\ \ce{g\ Mg}\cdot 10}{0.99} = \fbox{\color[RGB]{192,0,0}{\bf 15.2\ g\ Mg}}


Puedes un ejercicio similar a este resuelto en vídeo si clicas AQUÍ.