Ley de las proporciones definidas (2741)

, por F_y_Q

Un gramo de hierro reacciona químicamente con 0.57 gramos de azufre para producir sulfuro de hierro. Suponga que se repite la reacción mezclando 5 gramos de hierro con 3 gramos de azufre.

a) ¿Cuál es el reactivo limitante en esta reacción?

b) ¿Cuántos gramos sobrarán del reactivo en exceso?

c) ¿Cuántos gramos de producto se forman?

P.-S.

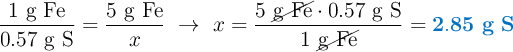
Para producir el mismo compuesto, según la ley de Proust, la proporción entre las masas de Fe y S es constante. Haces la proporción:

\frac{1\ \text{g Fe}}{0.57\ \text{g S}} = \frac{5\ \text{g Fe}}{x}\ \to\ x = \frac{5\ \cancel{\text{g Fe}}\cdot 0.57\ \text{g S}}{1\ \cancel{\text{g Fe}}} = \color[RGB]{0,112,192}{\bf 2.85\ g\ S}}

a) Como dispones de más azufre del que necesitas para que reaccionen los 5 g de hierro, \color[RGB]{192,0,0}{\textbf{el reactivo limitante es el hierro}}.
b) Sobrarán:

(3 - 2.85)\ g = \fbox{\color[RGB]{192,0,0}{\textbf{0.15 g de azufre}}}


c) Se formarán, aplicando la ley de la conservación de la masa:

(5 + 2.85)\ g = \fbox{\color[RGB]{192,0,0}{\textbf{7.85 g de sulfuro de hierro}}}