Ley de Ohm y resistencia 0001 6594

, por F_y_Q

Un cable de 10 m de longitud tiene una resistencia de 0,4 ohmios y por él circula una corriente de 5 A.

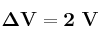
a) ¿Cuál es la diferencia de potencial entre los extremos del cable?

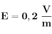
b) ¿Cuál será el módulo del campo eléctrico creado por el cable?

P.-S.

a) \bf \Delta V = 2\ V
b) \bf E = 0,2\ \frac{V}{m}