Ley de Gay-Lussac: temperatura inicial de un gas que se calienta y aumenta su presión (2363)

, por F_y_Q

Se coloca un gas ideal en un recipiente cerrado. Cuando la temperatura aumenta en diez grados, la presión aumenta un 2 \%. Indica la temperatura inicial expresada en escala Celsius.

P.-S.

Para hacer el problema tienes en cuenta la ley de Gay-Lussac. Esta ley dice que la presión y la temperatura son directamente proporcionales y se expresa como:

\color[RGB]{2,112,20}{\bm{\frac{P_1}{T_1} = \frac{P_2}{T_2}}}

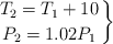
Los datos del enunciado los puedes expresar de la siguiente manera:

\left T_2 = T_1 + 10 \atop P_2 = 1.02P_1 \right \}
así expresarías el incremento del dos por ciento.

Sustituyes estos valores en la ecuación anterior:

\frac{P_1}{T_1} = \frac{1,02\ P_1}{T_1 + 10}\ \to\ \color[RGB]{2,112,20}{\bm{T_1 = \frac{T_1 + 10}{1.02}}}

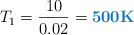
Simplificando y despejando obtienes:

T_1 = \frac{10}{0.02} = \color[RGB]{0,112,192}{\bf 500 K}}

Como debes expresar el resultado en escala Celsius, basta con restar 273:

T_1 = (500 - 273) = \fbox{\color[RGB]{192,0,0}{\bf 227^oC}}