Ley de Faraday 0001

, por F_y_Q

¿Cuanto tiempo llevará el depositarse 100 g de aluminio con una corriente de 125 amperios?

P.-S.

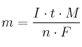
La expresión necesaria para hacer el problema es la ley de Faraday:

m = \frac{I\cdot t\cdot M}{n\cdot F}


donde I es la intensidad de corriente, t es el tiempo, M es la masa atómica del elemento que se reduce, n es el número de electrones necesarios para la reducción y F es la constante de Faraday.
Si despejamos el tiempo:

t = \frac{m\cdot n\cdot F}{I\cdot M} = \frac{100\ g\cdot 3\cdot 96500\ C/mol}{125\ C/s\cdot 27\ g/mol} = \bf 8578\ s