Ley de Dalton para un compuesto general del tipo AB

, por F_y_Q

Los elementos A y B pueden formar dos compuestos diferentes. En uno de ellos 0,579 g de A se combinan con 0,422 g de B. En el otro las cantidades son 0,179 g de A y 0,261 g de B. Aclara cómo estos números se ajustan a la ley de las proporciones múltiples.

P.-S.

Este ejercicio se puede resolver de varias maneras. Vamos a resolverlo de dos modos distintos.
MODO 1.
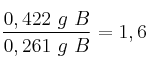
Podemos hacer las relaciones entre las masas de A y B en ambos compuestos y luego ver qué proporción guardan estas relaciones:
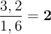
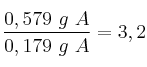
\frac{0,579\ g\ A}{0,179\ g\ A} = 3,2
\frac{0,422\ g\ B}{0,261\ g\ B} = 1,6
Si dividimos el número mayor entre el menor de los obtenidos en estas relaciones:

\frac{3,2}{1,6} = \bf 2

(Esta relación es numérica sencilla por lo que se cumple la ley de las proporciones múltiples).
MODO 2.
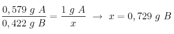
Vamos a fijar una cantida de A, por ejemplo, y vemos qué relación hay entre las masas de B para esa cantidad fija de A. Lo hacemos para un gramo de A:
\frac{0,579\ g\ A}{0,422\ g\ B} = \frac{1\ g\ A}{x}\ \to\ x = 0,729\ g\ B
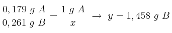
\frac{0,179\ g\ A}{0,261\ g\ B} = \frac{1\ g\ A}{x}\ \to\ y = 1,458\ g\ B
Si hacemos el cociente entre las masas de B que reaccionan con la misma cantidad de A (1 g), encontramos:

\frac{y}{x} = \frac{1,458\ g\ B}{0,729\ g\ B} = \bf 2

(La misma conclusión que antes, se cumple la ley de las proporciones múltiples.