Ley de Charles: volumen de un gas a distintas temperaturas (4324)

, por F_y_Q

Un recipiente contiene 5 L de \ce{N_2(g)} cuando se encuentra a una temperatura de 225\ ^oC. Calcula el volumen que ocupará este gas, si su presión es constante, cuando está a las siguientes temperaturas: a) 1\ ^oC ; b) 15\ ^oF ; c ) 210\ K ; d) 20\ ^oF

P.-S.

Como el gas se encuentra a presión constante, debes establecer la relación entre el volumen y la temperatura en cada caso, lo que puedes hacer a partir de la Ley de Charles:

\color[RGB]{2,112,20}{\bm{\frac{V_1}{T_1} = \frac{V_2}{T_2}}}

No debes olvidar que la temperatura ha de estar expresada siempre en escala absoluta cuando aplicas las leyes de los gases, por lo tanto:

\color[RGB]{0,112,192}{\bm{T_1 = 225 + 273 = 498\ K}}

Haces la conversión de la temperatura a escala absoluta en cada apartado y aplicas la ley anterior.

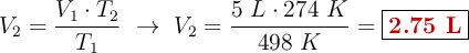
a) T_2 = 1 + 273 = \color[RGB]{0,112,192}{\bf 274\ K}

V_2 = \frac{V_1\cdot T_2}{T_1}\ \to\ V_2 = \frac{5\ L\cdot 274\ K}{498\ K} = \fbox{\color[RGB]{192,0,0}{\bf 2.75\ L}}


b) T_2 = \frac{15 - 32}{1.8} + 273 = \color[RGB]{0,112,192}{\bf 263.56\ K}

V_2 = \frac{5\ L\cdot 263.56\ K}{498\ K} = \fbox{\color[RGB]{192,0,0}{\bf 2.65\ L}}


c) En este caso no es necesario hacer la conversión de la temperatura:

V_2 = \frac{5\ L\cdot 210\ K}{498\ K} = \fbox{\color[RGB]{192,0,0}{\bf 2.11\ L}}


d) T_2 = \frac{20 - 32}{1.8} + 273 = \color[RGB]{0,112,192}{\bf 266.33\ K}

V_2 = \frac{5\ L\cdot 266.33\ K}{498\ K} = \fbox{\color[RGB]{192,0,0}{\bf 2.67\ L}}