P.-S.
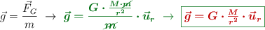
La intensidad del campo gravitatorio se obtiene haciendo el cociente entre la fuerza gravitatoria que actúa sobre un cuerpo de masa m y el valor de la masa de ese cuerpo:
![\vec g = \frac{\vec F_G}{m}\ \to\ \color[RGB]{2,112,20}{\bm{\vec g = \frac{G\cdot \frac{M\cdot \cancel{m}}{r^2}}{\cancel{m}}\cdot \vec u_r}}}\ \to\ \fbox{\color[RGB]{192,0,0}{\bm{\vec g = G\cdot \frac{M}{r^2}\cdot \vec u_r}}} \vec g = \frac{\vec F_G}{m}\ \to\ \color[RGB]{2,112,20}{\bm{\vec g = \frac{G\cdot \frac{M\cdot \cancel{m}}{r^2}}{\cancel{m}}\cdot \vec u_r}}}\ \to\ \fbox{\color[RGB]{192,0,0}{\bm{\vec g = G\cdot \frac{M}{r^2}\cdot \vec u_r}}}](local/cache-vignettes/L378xH43/90a702f546cafb76f98661b503557272-df327.png?1733119340)

es el campo gravitatorio,
M es la masa del cuerpo que crea el campo gravitatorio,
G es la constante de gravitación universal,
r es la distancia que separa al cuerpo que crea el campo del punto en el que queremos conocer el valor del campo gravitatorio y

es el vector unitario con dirección de la recta que une ambos puntos y sentido hacia el cuerpo que crea el campo.
La fuerza gravitatoria es una fuerza central y genera, por lo tanto,
un campo conservativo. Esto implica que el trabajo de la fuerza gravitatoria solo depende de la posición inicial y final de la partícula que se desplaza en el interior del campo. Si la partícula describe un camino cerrado, saliendo a A y volviendo al mismo punto A,
el trabajo será nulo.