Fuerza necesaria para que un cuerpo alcance una aceleración (2900)

, por F_y_Q

¿Cuál es la fuerza necesaria, expresada en N, para mover un cuerpo de 20 N de peso con una aceleración de 2\ m\cdot s^{-2}?

P.-S.

Puedes obtener el valor de la fuerza sin necesidad de calcular la masa del cuerpo. Para ello, debes sustituir el valor del peso por su expresión:

 \left {{F = m\cdot a} \atop {p = m\cdot g}}\}\ \to\ \color[RGB]{2,112,20}{\bm{F = \frac{p}{g}\cdot a \right}}

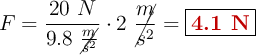
Sustituyes los valores dados en el enunciado y calculas:

F = \frac{20\ N}{9.8\ \cancel{\frac{m}{s^2}}}\cdot 2\ \cancel{\frac{m}{s^2}} = \fbox{\color[RGB]{192,0,0}{\bf 4.1\ N}}