Fuerza mínima y aceleración de un cuerpo al aplicarle una fuerza (4540)

, por F_y_Q

Un bloque rectangular de 50 kg se encuentra apoyado sobre una superficie horizontal y con un coeficiente de rozamiento de 0.15, inicialmente en reposo.

a) Calcula la fuerza mínima que es necesario aplicar para moverlo.

b) Calcula el valor de la acelaración, una vez que se mueve al aplicar una fuerza de 100 N hacia la derecha.

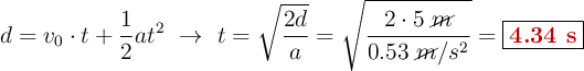
c) Calcula el tiempo que tarda en recorrer 5 m.

P.-S.

a) La fuerza que habrá que aplicar debe ser mayor que la fuerza de rozamiento, de manera que la suma de ambas implique una aceleración distinta de cero y eso haga que cambie su velocidad.

F_{ap} > F_R\ \to\ F_{ap} > \mu \cdot m\cdot g\ \to\ F_{ap} > 0.15\cdot 50\ kg\cdot 9.8\ \frac{m}{s^2} > \fbox{\color[RGB]{192,0,0}{\bf 73.5\ N}}


b) Si se aplica una fuerza de 100 N, la fuerza resultante sobre el bloque será la suma de ambas:

F_{ap} - F_R = m\cdot a\ \to\ a = \frac{F_{ap} - F_R}{m} = \frac{100\ N - 73.5\ N}{50\ kg} = \fbox{\color[RGB]{192,0,0}{\bm{0.53\ \frac{m}{s^2}}}}


c) Dado que el movimiento que sufre el bloque es un MRUA:

d = v_0\cdot t + \frac{1}{2}at^2\ \to\ t = \sqrt{\frac{2d}{a}} = \sqrt{\frac{2\cdot 5\ \cancel{m}}{0.53\ \cancel{m}/s^2}} = \fbox{\color[RGB]{192,0,0}{\bf 4.34\ s}}