Fuerza eléctrica: Principio de superposición 0001 6445

, por F_y_Q

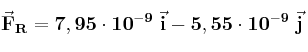
Tres cargas puntuales q_1 = 5 nC, q_2 = -3 nC y q_3 = 2 nC están colocadas según se ve en la figura. Calcula el vector fuerza resultante sobre la carga q_3. Supón que las coordenadas están expresadas en metros.

P.-S.

\bf \vec F_R = 7,95\cdot 10^{-9}\ \vec i - 5,55\cdot 10^{-9}\ \vec j