Fuerza de atracción entre Saturno y su luna Titán (6907)

, por F_y_Q

a) Sabiendo que la distancia media de la órbita que describe Titán alrededor de Saturno es de 1 221 870 km, halla el valor de la fuerza de interacción gravitatoria entre Saturno y Titán.

b) ¿Cuál es la aceleración de la gravedad en la superficie de Saturno?

c) ¿Cuánto pesa un cuerpo de 200 kg ubicado a 5 000 km de altura de la superficie de Saturno?

Datos: G = 6.67\cdot 10^{-11}\ \textstyle{N\cdot m^2\over kg^2} ; m_S = 5.683\cdot 10^{26}\ kg ; m_T = 1.345\cdot 10^{23}\ kg ; R_S = 58\ 232\ km

P.-S.

a) La fuerza de atracción gravitatoria sigue la ley de Newton:

\color[RGB]{2,112,20}{\bm{F_G = G\cdot \frac{M_S\cdot M_T}{(d_{S-T})^2}}}

Es imporante el uso de la notación científica y las unidades correctas en este ejercicio.

F_G = 6.67\cdot 10^{-11}\ \frac{N\cdot m^2}{kg^2}\cdot \frac{5.683\cdot 10^{26}\ kg\cdot 1.345\cdot 10^{23}\ kg}{(1.222\cdot 10^9\ m)^2} = \fbox{\color[RGB]{192,0,0}{\bm{3.414\cdot 10^{21}\ N}}}


b) La aceleración gravitatoria es lo mismo que el campo gravitatorio, cuya expresión es:

\color[RGB]{2,112,20}{\bm{g_S = G\cdot \frac{M_S}{R_S^2}}}

g_S = 6.67\cdot 10^{-11}\ \frac{N\cdot m^2}{kg^2}\cdot \frac{5.683\cdot 10^{26}\ kg}{(5.823\cdot 10^7\ m)^2} = \fbox{\color[RGB]{192,0,0}{\bm{11.18\ \frac{m}{s^2}}}}


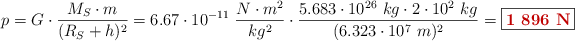
c) El peso que debes calcular es equivalente a la fuerza de atracción gravitatoria entre Saturno y el cuerpo, pero teniendo en cuenta la distancia que separa el centro de ambos:

p = G\cdot \frac{M_S\cdot m}{(R_S + h)^2} = 6.67\cdot 10^{-11}\ \frac{N\cdot m^2}{kg^2}\cdot \frac{5.683\cdot 10^{26}\ kg\cdot 2\cdot 10^2\ kg}{(6.323\cdot 10^7\ m)^2} = \fbox{\color[RGB]{192,0,0}{\bf 1\ 896\ N}}