Fuerza aplicada sobre una caja para que recorra una distancia en un tiempo (6422)

, por F_y_Q

Una caja con una masa de 40 kg está en reposo y se desliza durante 10 m en 6 s debido a la acción de una fuerza. ¿Cuál es el módulo de esa fuerza?

P.-S.

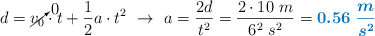
En primer lugar debes calcular la aceleración que sufre la caja:

d = \cancelto{0}{v_0}\cdot t + \frac{1}{2}a\cdot t^2\ \to\ a = \frac{2d}{t^2} = \frac{2\cdot 10\ m}{6^2\ s^2} = \color[RGB]{0,112,192}{\bm{0.56\ \frac{m}{s^2}}}

La fuerza aplicada es:

F = m\cdot a = 40\ kg\cdot 0.56\ \frac{m}{s^2} = \fbox{\color[RGB]{192,0,0}{\bm{22.4\ N}}}