Fuerza aplicada a un coche que acelera (2808)

, por F_y_Q

Un automóvil de carreras tiene una masa de 700 kg. Parte del reposo y recorre 120 m en 28 segundos. El automóvil adquiere una aceleración uniforme durante el recorrido, ¿qué fuerza se le aplica?

P.-S.

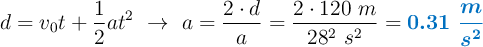
En primer lugar debes calcular la aceleración que sufre el automóvil, teniendo en cuenta que su velocidad inicial es cero:

d = v_0t + \frac{1}{2}at^2\ \to\ a = \frac{2\cdot d}{a} = \frac{2\cdot 120\ m}{28^2\ s^2} = \color[RGB]{0,112,192}{\bm{0.31\ \frac{m}{s^2}}}

Ahora aplicas la segunda ley de Newton:

F = m\cdot a = 700\ kg\cdot 0.31\ \frac{m}{s^2} = \fbox{\color[RGB]{192,0,0}{\bf 217\ N}}