Fórmulas semidesarrolladas de hidrocaburos (6513)

, por F_y_Q

Escribe las fórmulas semidesarrolladas de los siguientes compuestos:

a) 3-etil-4-isopropil-6,6-dimetilhept-3-eno.

b) 4-butil-5-isopropil-3,6-dimetiloct-3-eno.

c) 7-ter-butil-5-isopropil-2,4,10-trimetil-6-neopentil-5-propilundec-2-eno.

d) 3-etil-2,3-dimetilhexano.

e) 5-ter-butil-5-etil-3-isopropil-2,6-dimetiloctano.

f) 4-sec-butil-2,2,4,5,6-pentametilheptano.

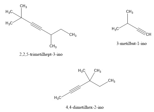
g) 2,2,5-trimetilhept-3-ino.

h) 3-metilbut-1-ino.

i) 4,4-dimetilhex-2-ino.

P.-S.

Para lograr que quede más claro solo se han representado los carbonos terminales y no los que forman parte de las cadenas principales.

Si haces clic en las miniaturas podrás ver las estructuras con más detalle.