Formulación y nomenclatura de compuestos orgánicos (6711)

, por F_y_Q

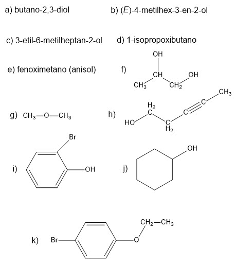
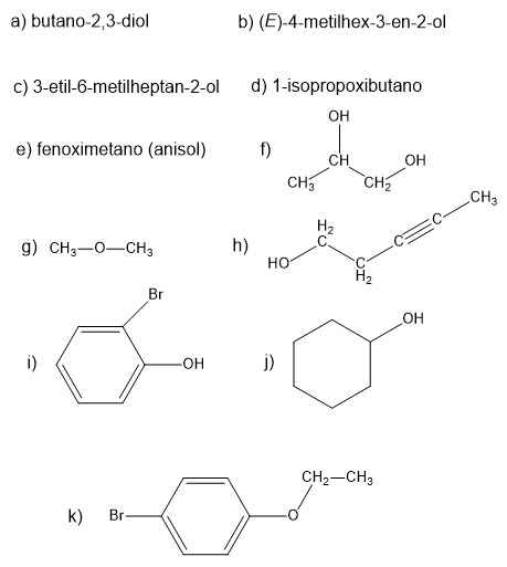
Formula o nombra los siguientes compuestos orgánicos:

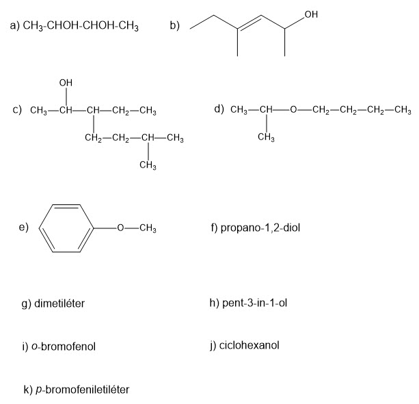
P.-S.

<i<Si clicas en la miniatura podrás ver la solución con más detalle.