Formulación de compuestos orgánicos oxigenados (6752)

, por F_y_Q

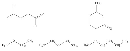
Nombra los siguientes compuestos oxigenados:

P.-S.

(Si haces clic en la miniatura podrás ver la solución del ejercicio con más detalle).